山東羅欣藥業集團股份有限公司招標公告

【規格】按C13H13N5O5S2計(1)0.5g;(2)1.0g;(3)2.0g。
【包裝】西林瓶裝;1瓶/盒、5瓶/盒、10瓶/盒、20瓶/盒、50瓶/盒。
【單位】瓶
【批準文號】(1)0.5g 國藥準字H20083753 (2)1.0g 國藥準字H20083754(3)2.0g 國藥準字H20083755
【藥品名稱】
通用名稱:注射用頭孢唑肟鈉
英文名稱:Ceftizoxime Sodium for Injection
漢語拼音:Zhusheyong Toubaozuowona
【成 份】
本品主要成份為頭孢唑肟鈉,無輔料。
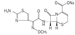
化學名稱:(6R,7R)-7-[(Z)-2-(2-氨基-4-噻唑基)-2-(甲氧亞氨基)乙酰氨基]-8-氧代-5-硫雜-1-氮雜雙環[4.2.0]辛-2-烯-2-甲酸鈉鹽。
化學結構式:

分子式: C13H12N5NaO5S2
分子量: 405.38
【性 狀】
本品為白色至淡黃色結晶、結晶性或顆粒狀粉末。
【適 應 癥】
敏感菌所致的下呼吸道感染、尿路感染、腹腔感染、盆腔感染、敗血癥、皮膚軟組織感染、骨和關節感染、肺炎鏈球菌或流感嗜血桿菌所致腦膜炎和單純性淋病。
【規 格】按C13H13N5O5S2計(1)0.5g;(2)1.0g;(3)2.0g。
【用法用量】
1.成人常用量:一次1~2g,每8~12小時1次;嚴重感染者的劑量可增至一次3~4g,每8小時1次。治療非復雜性尿路感染時,一次0.5g,每12小時1次。
2.6個月及6個月以上的嬰兒和兒童常用量:按體重一次50mg/kg,每6~8小時1次。
3.腎功能損害者:腎功能損害的患者需根據其損害程度調整劑量。在給予0.5~1g的首次負荷劑量后,腎功能輕度損害的患者(內生肌酐清除率Clcr為50~79ml/分鐘)常用劑量為一次0.5g,每8小時1次,嚴重感染時一次0.75~1.5g,每8小時1次;腎功能中度損害的患者(Clcr為5~49ml/分鐘)常用劑量為一次0.25~0.5g,每12小時1次,嚴重感染時一次0.5~1g,每12小時1次;腎功能重度損害需透析的患者(Clcr為0~4ml/分鐘)常用劑量為一次0.5g,每48小時1次或一次0.25g,每24小時1次,嚴重感染時一次0.5~1g,每48小時1次或一次0.5g,每24小時1次。血液透析患者透析后可不追加劑量,但需按上述給藥劑量和時間,在透析結束時給藥。
本品可用注射用水、氯化鈉注射液、5%葡萄糖注射液溶解后緩慢靜脈注射,亦可加在10%葡萄糖注射液、電解質注射液或氨基酸注射液中靜脈滴注30分鐘~2小時。
【不良反應】
1.皮疹、瘙癢和藥物熱等過敏反應、腹瀉、惡心、嘔吐、食欲不振等。
2.堿性磷酸酶、血清氨基轉移酶輕度升高、暫時性血膽紅素、血尿素氮和肌酐升高等。
3. 貧血(包括溶血性貧血)、白細胞減少、嗜酸性粒細胞增多或血小板減少少見。
4.偶見頭痛、麻木、眩暈、維生素K和維生素B缺乏癥、過敏性休克。
5.極少數病人可發生粘膜念珠菌病。
6.注射部位燒灼感、蜂窩組織炎、靜脈炎(靜脈注射者)、疼痛、硬化和感覺異常等。
【禁 忌】
對本品及其他頭孢菌素過敏者禁用。
【注意事項】
1.擬用本品前必須詳細詢問患者先前有否對本品、其他頭孢菌素類、青霉素類或其他藥物的過敏史,因為在青霉素類和頭孢菌素類等β內酰胺類抗生素之間已證實存在交叉過敏反應。在青霉素類抗生素過敏患者中約5%~10%可對頭孢菌素出現交叉過敏反應。因此有青霉素類過敏史患者,有指征應用本品時,必須充分權衡利弊后在嚴密觀察下慎用。如以往發生過青霉素休克的患者,則不宜再選用本品。如應用本品時,一旦發生過敏反應,需立即停藥。如發生過敏性休克,需立即就地搶救,給予腎上腺素、保持呼吸道通暢、吸氧、糖皮質激素及抗組胺藥等緊急措施。
2.對診斷的干擾:抗球蛋白(Coombs)試驗可出現陽性。用Bendict、Fehling及Clinitest試劑檢查尿糖可呈假陽性。血清堿性磷酸酶、血尿素氮、丙氨酸氨基轉移酶、門冬氨酸氨基轉移酶或血清乳酸脫氫酶值可增高。
3.幾乎所有的抗生素都可引起假膜性腸炎,包括頭孢唑肟。如在應用過程中發生抗生素相關性腸炎,必須立即停藥,采取相應措施。
4.有胃腸道疾病病史者,特別是結腸炎患者應慎用。易發生支氣管哮喘、皮疹、蕁麻疹等過敏性體質者慎用。不能很好進食或非經口攝取營養者、高齡者、惡液質等患者應慎用,因為有出現維生素K缺乏癥的情況。
5.雖然本品未顯示出對腎功能的影響,應用本品時仍應注意腎功能,特別是在那些接受大劑量治療的重癥病人中。
6.與其他抗生素相仿,過長時間應用本品可能導致不敏感微生物的過度繁殖,需要嚴密觀察,一旦發生二重感染,需采取相應措施。
7.一次大劑量靜脈注射時可引起血管痛、血栓性靜脈炎,應盡量減慢注射速度以防其發生。
8.本品溶解后在室溫下放置不宜超過7小時,冰箱中放置不宜超過48小時。
【孕婦及哺乳期婦女用藥】
動物實驗中沒有發現本品對生殖能力和胎兒有損害,但妊娠期用藥的安全性尚不清楚,孕婦只在有明確指征時應用。
本品有少量可分泌至乳汁中,哺乳期婦女應用本品時應暫停哺乳。
【兒童用藥】
6個月以下小兒使用本品的安全性和有效性尚未確定。
【老年用藥】
老年患者常伴有腎功能減退,應適當減少劑量或延長給藥間期。
【藥物相互作用】
雖然尚無本品與其他藥物相互作用的報道,但有其他頭孢菌素與氨基糖苷類抗生素聯合應用時出現腎毒性的報道。
【藥物過量】尚不明確。
【藥理毒理】
本品屬第三代頭孢菌素,具廣譜抗菌作用,對多種革蘭陽性菌和革蘭陰性菌產生的廣譜β內酰胺酶(包括青霉素酶和頭孢菌素酶)穩定。本品對大腸埃希菌、肺炎克雷伯菌、奇異變形桿菌等腸桿菌科細菌有強大抗菌作用,銅綠假單胞菌等假單胞菌屬和不動桿菌屬對本品敏感性差。頭孢唑肟對流感嗜血桿菌和淋病奈瑟球菌有良好抗菌作用。本品對金黃色葡萄球菌和表皮葡萄球菌的作用較第一、第二代頭孢菌素為差,耐甲氧西林金黃色葡萄球菌和腸球菌屬對本品耐藥,各種鏈球菌對本品均高度敏感。消化球菌、消化鏈球菌和部分擬桿菌屬等厭氧菌對本品多呈敏感,艱難梭菌對本品耐藥。
本品作用機制為本品通過抑制細菌細胞壁粘肽的生物合成而達到殺菌作用。
【藥代動力學】
肌內注射本品0.5g或1.0g后血藥峰濃度(Cmax)分別為13.7mg/L和39mg/L,于給藥后1小時到達。靜脈注射本品2g或3g,5分鐘后血藥峰濃度(Cmax)分別為131.8mg/L和221.1mg/L。頭孢唑肟廣泛分布于全身各種組織和體液中,包括胸水、腹水、膽汁、膽囊壁、腦脊液(腦膜有炎癥時)、前列腺液和骨組織中均可達治療濃度。蛋白結合率30%。本品血消除半衰期(t1/2β)為1.7小時。在體內不代謝,24小時內給藥量的80%以上以原形經腎排泄,因此尿液中藥物濃度高。丙磺舒可使頭孢唑肟的腎清除減少,血藥濃度增高。
【貯 藏】
密封,在涼暗(避光并不超過20℃)干燥處保存。
【包 裝】
西林瓶裝;1瓶/盒、5瓶/盒、10瓶/盒、20瓶/盒、50瓶/盒。
【有 效 期】24個月。
【執行標準】《中國藥典》2015年版第一增補本
【批準文號】(1)0.5g 國藥準字H20083753 (2)1.0g 國藥準字H20083754(3)2.0g 國藥準字H20083755
【生產企業】
企業名稱:山東羅欣藥業集團股份有限公司
生產地址:山東省臨沂高新技術產業開發區羅七路
郵政編碼:276017
電話號碼:0539-8257899 8481991
傳真號碼:0539-8481990
售后服務:0539-8242699
網 址:m.lcsyjck.com
敏感菌所致的下呼吸道感染、尿路感染、腹腔感染、盆腔感染、敗血癥、皮膚軟組織感染、骨和關節感染、肺炎鏈球菌或流感嗜血桿菌所致腦膜炎和單純性淋病。
1.成人常用量:一次1~2g,每8~12小時1次;嚴重感染者的劑量可增至一次3~4g,每8小時1次。治療非復雜性尿路感染時,一次0.5g,每12小時1次。
2.6個月及6個月以上的嬰兒和兒童常用量:按體重一次50mg/kg,每6~8小時1次。
3.腎功能損害者:腎功能損害的患者需根據其損害程度調整劑量。在給予0.5~1g的首次負荷劑量后,腎功能輕度損害的患者(內生肌酐清除率Clcr為50~79ml/分鐘)常用劑量為一次0.5g,每8小時1次,嚴重感染時一次0.75~1.5g,每8小時1次;腎功能中度損害的患者(Clcr為5~49ml/分鐘)常用劑量為一次0.25~0.5g,每12小時1次,嚴重感染時一次0.5~1g,每12小時1次;腎功能重度損害需透析的患者(Clcr為0~4ml/分鐘)常用劑量為一次0.5g,每48小時1次或一次0.25g,每24小時1次,嚴重感染時一次0.5~1g,每48小時1次或一次0.5g,每24小時1次。血液透析患者透析后可不追加劑量,但需按上述給藥劑量和時間,在透析結束時給藥。
本品可用注射用水、氯化鈉注射液、5%葡萄糖注射液溶解后緩慢靜脈注射,亦可加在10%葡萄糖注射液、電解質注射液或氨基酸注射液中靜脈滴注30分鐘~2小時。