山東羅欣藥業集團股份有限公司招標公告

【規 格】0.3g(按C15H18N4O4S計算)
【包 裝】低硼硅玻璃管制注射劑瓶+注射用無菌粉末用溴化丁基膠塞。1瓶/盒。
【單 位】瓶
【批準文號】國藥準字H20140120
【藥品名稱】
通用名稱:注射用比阿培南
英文名稱:Biapenem for Injection
漢語拼音:Zhusheyong Bi’apeinan
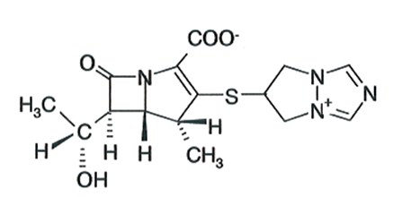
【成 份】
本品主要成份為比阿培南。
其化學名稱為:(-)-6-[[(4R,5S,6S)-2-羧基-6-[(1R)-1-羥乙基]-4-甲基-7-氧代-1-氮雜雙環[3.2.0]庚-2-烯-3-基]硫]-6,7-二氫-5H-吡唑并[1,2-a][1,2,4]三唑-4-鎓內鹽。
化學結構式:

分子式:C15H18N4O4S
分子量:350.40
【性 狀】本品為白色至微黃色結晶性粉末。
【規 格】0.3g(按C15H18N4O4S計算)
【不良反應】
1、本品臨床試驗時觀察到的不良反應和增加藥效時的不良反應概況
在報告的本制劑2348例不良反應中,64例(2.7%)的不良反應得到確認。其主要表現為發疹(1.0%)、痢疾(包含軟便)(0.7%)等。另外,臨床檢驗結果異常的2287例中,304例(13.3%)中522件得到確認,其主要表現為ALT升高144例、AST升高93例,嗜酸性粒細胞增多77例等。
2、本品上市后截止2011年12月的不良反應概況
在上市后使用結果調查1700例中,發現208例(12.2%)發生了不良反應(包括臨床檢查值異常),其主要表現為肝功能損傷77件(4.5%)、ALT升高45件(2.6%)、AST升高40件(2.4%)、ALP升高13件(0.8%)、LDH升高12件(0.7%)等。
3、本品嚴重不良反應
1)休克(不足0.1%)、過敏癥狀(頻率不詳)
由于會出現休克、過敏癥狀等,在給藥時需注意觀察。如出現不適感、口內異常感、喘息、眩暈、便意、耳鳴、發汗等;應中止給藥,采取適當的處置。
2)間質性肺炎(0.1~5%以下)
由于會出現間質性肺炎,在給藥時需注意觀察。如出現發熱、咳嗽、工作時氣喘或呼吸困難等,應盡快進行胸部X光檢查。當懷疑為間質性肺炎時,應中止給藥,采取給予副腎上腺皮質激素等應急措施。
另外,有碳青霉烯類引起PIE癥候群出現的報告。
3)伴有痢疾、血便的偽膜性大腸炎等重度大腸炎(頻率不詳)
由于會出現伴有痢疾、血便等重度大腸炎(偽膜性大腸炎等),給藥時應注意觀察。出現異常時應立即中止給藥,采取相應的措施。
4)痙攣、意識障礙(頻率不詳)
由于會出現痙攣、意識障礙等中樞神經癥狀,給藥時應注意觀察。出現異常時應立即中止給藥,采取相應的措施。特別是容易出現腎功能障礙和中樞神經障礙的患者,給藥時應特別注意。
5)伴有AST、ALT、γ-GTP、ALP顯著升高的肝功能障礙、黃疸(0.1~5%以下)
由于有伴隨AST(GOT)、ALT(GPT)、γ-GTP、AL-P顯著升高的肝功能障礙、黃疸的出現,需定期進行檢查和觀察。出現異常時應立即中止給藥,采取相應的措施。
6)急性腎衰竭等嚴重腎功能障礙 (0.1%以下)
由于有急性腎衰竭等嚴重腎功能障礙的出現,需定期進行檢查和觀察。出現異常時應立即中止給藥,采取相應的措施。
7)粒細胞缺乏癥、全血細胞減少癥、白血球減少、血小板減少(全部頻率不詳)
由于有無顆粒球癥、全血細胞減少癥、白血球減少、血小板減少的出現,需定期進行檢查和觀察。出現異常時應立即中止給藥,采取相應的措施。
4、同類藥物的嚴重不良反應
1)皮膚粘膜眼癥候群(Stevens-Johnson癥候群)、中毒性表皮壞死癥(Lyell癥候群)
其它的碳青霉烯類抗生素有可能導致皮膚粘膜眼癥候群(Stevens-Johnson癥候群)、中毒性表皮壞死癥 (Lyell癥候群),給藥時需注意觀察。如出現發熱、紅斑、瘙癢感、眼充血、口內炎等異常時應立即中止給藥,采取相應的措施。
2)溶血性貧血
其它的碳青霉烯類抗生素有可能導致溶血性貧血,給藥時需注意觀察。如出現異常時應立即中止給藥,采取相應的措施。
3)血栓性靜脈炎
其它的碳青霉烯類抗生素有可能導致血栓性靜脈炎,給藥時需注意觀察。如出現異常時應立即中止給藥,采取相應的措施。
4)PIE綜合征
其它的碳青霉烯類抗生素會引起PIE綜合征,因此需充分進行觀察。如發生異常時停止給藥,施以適當的處置措施。
5)暴發性肝功能衰竭
其它的碳青霉烯類抗生素會引起暴發性肝功能衰竭,因此需充分進行觀察。如發生異常時停止給藥,施以適當的處置措施。
5、本品其他不良反應
本品尚可見下述不良反應,需要根據癥狀和體征采取相應的措施。

注(2):如出現癥狀,應停止給藥,并采取適當的措施。
注(3):應密切觀察,如出現癥狀,應停止給藥,并采取適當的措施。
【禁 忌】
1、對本品成分既往有休克史者禁用;
2、正在服用丙戊酸、丙戊酸鈉類藥物的患者禁用 (有可能導致癲癇的再次發作)。
3、對本品成分既往有過敏史者禁用。
【注意事項】
1、以下患者慎重給藥
1)對碳青霉烯類、青霉素類及頭孢菌素類抗生素藥物有過敏史的患者;
2)本人或直系親屬有易發支氣管哮喘、皮疹、蕁麻疹等過敏體質的患者;
3)嚴重腎功能不全的患者(容易引起痙攣、意識障礙等中樞神經系統障礙);
4)進食困難或正接受非口服營養劑的患者、全身狀態惡化的患者(可能引起維生素K缺乏癥狀);
5)有癲癇史或中樞神經系統障礙患者慎用(容易引起痙攣,意識障礙等中樞神經障礙);
6)心臟、循環系統障礙的患者(存在引起循環血量增多,增加心臟負擔,使癥狀加重的隱患);
7)腎功能障礙的患者(水分、氯化鈉的過量可能會引起癥狀惡化)。
2、重點注意事項
對于本品導致的休克、過敏反應等沒有可預知的方法,所以使用前應首先執行以下措施;
1)使用前應充分了解患者既往史,務必確認是否有抗生素藥物過敏史;
2)在藥物使用時,必須備有對于產生休克等癥狀處理的急救措施;
3)藥物開始使用至結束,要讓患者保持安靜狀態,密切觀察,特別是開始使用階段。
3、對于臨床檢查結果的影響
1)除尿潛血反應外,應注意在應用班氏試劑、斐林試劑以及試紙法檢測尿糖時可能出現假陽性結果。
2)應注意直接庫姆斯試驗有時呈現陽性結果。
【孕婦及哺乳期婦女用藥】
1、本品妊娠期間給藥的安全性尚未確定。對于妊娠或有妊娠可能性的婦女,應該在判定治療的獲益大于危險的情況下,才可以使用本品。
2、不推薦哺乳期婦女使用本品。如必須使用本品,則應停止哺乳。動物實驗(大鼠)結果表明,本品可進入乳汁中。
【兒童用藥】
本品對于低出生體重兒、新生兒、嬰兒、幼兒或兒童的安全性尚未確定。
【老年用藥】
1、應在密切觀察下慎重給藥,關注劑量和用藥間隔,并應注意觀察患者的狀態。
2、老年患者多數生理功能低下,易出現不良反應。
3、老年患者易出現由維生素K缺乏引起的出血傾向。
【藥物相互作用】
本品與丙戊酸、丙戊酸鈉等合用時,可降低丙戊酸血藥濃度,可能導致癲癇發作。因此本品禁與丙戊酸、丙戊酸鈉類藥物合用。
【藥物過量】
未見有關本品人體過量使用的報道。如發現患者過量使用本品,可采用常規的監護及對癥治療。
【藥理毒理】
藥理作用
比阿培南為碳青霉烯類抗生素,通過抑制細菌細胞壁的合成而發揮抗菌作用,對革蘭陽性、革蘭陰性的需氧和厭氧菌有廣譜抗菌活性。比阿培南對人腎脫氫肽酶-I(DHP-I)穩定,可單獨給藥而不需與DHP-I抑制劑合用。
毒理研究
重復給藥毒性:大鼠和犬連續3個月靜脈注射比阿培南,主要毒性反應為糞便異常,出現稀便、水樣便、粘液便等。大鼠靜脈注射比阿培南600mg/kg/d,腎小管上皮細胞出現輕度濁腫;脾臟和盲腸腫大,但未見病理學改變。
遺傳毒性:比阿培南的細菌回復突變試驗、中國倉鼠卵巢細胞染色體畸變試驗和小鼠微核試驗結果均為陰性。
生殖毒性:大鼠妊娠前和妊娠初期靜脈注射300mg/kg/d,出現攝食量減少、體重下降等毒性反應,但對其生育力未見影響。妊娠大鼠器官形成期靜脈注射比阿培南300mg/kg/d,導致F1代胎仔體重降低,但對胎仔沒有致死效應和致畸作用。圍產期毒性試驗中,100mg/kg/d及以上劑量組的F1代雌鼠在6周齡檢查時見陰道張開延遲;但在10周齡時,未見生殖功能有異常變化。比阿培南對F2代胎仔和仔鼠均無明顯影響。
【藥代動力學】
文獻報道的本品藥代動力學情況如下:
1、血藥濃度
圖1所示為健康成人(5例)在單次靜脈滴注比阿培南,滴注時間為60分鐘,劑量分別為150mg、300mg及600mg時血漿中的藥物濃度,呈劑量依賴性。重復滴注給藥時體內動態與單劑量靜滴給藥大致相同,未發現有蓄積性。
多次靜脈滴注時,藥代學與單次基本相同,沒有發現蓄積性。
圖1健康成人單次靜脈滴注后的血藥濃度(參照表1)

表1 健康成人單次靜脈注射比阿培南的藥代動力學參數(Mean±SD,n=5)

2、體內分布
健康成人30分鐘或60分鐘單次靜脈滴注比阿培南300mg,盆腔液中藥物最高濃度為9.6μg/ml。用藥6小時后痰液中濃度為0.1~2.5μg/g。
3、代謝
健康成人(5例)在單次靜脈滴注150mg、300mg及600mg比阿培南,或300mg、600mg多次靜脈滴注后,血漿中均未檢出代謝物。在尿液中有9.7~23.4%作為代謝物被排出,且代謝物無抑菌活性。
4、排泄
健康成人(5例)在60分鐘單次靜脈靜注150mg、300mg及600mg比阿培南后,0~2小時平均尿中藥物濃度分別為325.5、584.8及1105.1μg/ml,給藥8~12小時后尿中藥物濃度分別為2.4、4.7及21.4μg/ml,且0~12小時比阿培南累積尿中排泄率分別為62.1%、63.4%及64.0%。
5、腎功能損傷患者給藥后的血藥濃度
1)腎功能損傷患者(3例)60分鐘單次靜脈滴注300mg比阿培南時,隨著腎功能的下降,比阿培南半衰期延長。
(表2及圖2)
表2 腎功能損傷患者藥代學參數

圖2 腎功能損傷患者單次靜脈滴注后的血漿濃度

2)肌酐清除率約為50mL/min的中度腎功能損傷患者(3例)1日2次,連續7日共14次靜脈滴比阿培南,滴注時間30分鐘,在血漿及尿液中沒有發現藥物蓄積。
3)必須進行血液透析的腎功能損傷患者(5例),在非透析時,經60分鐘靜脈滴注300mg比阿培南,結果表明本品半衰期延長。
表3 血液透析患者單次靜脈滴注后的血漿濃度(Mean±SD,n=5)

【貯 藏】密封,在陰涼(不超過20℃)干燥處保存。
【包 裝】低硼硅玻璃管制注射劑瓶+注射用無菌粉末用溴化丁基膠塞。1瓶/盒。
【有 效 期】24個月
【執行標準】YBH04172014
【批準文號】國藥準字H20140120
【生產企業】
企業名稱:山東羅欣藥業集團股份有限公司
生產企業:山東省臨沂高新技術產業開發區羅七路
郵政編碼:276017
電話號碼:0539-8257899 8481991
傳真號碼:0539-8481900
售后服務:0539-8242699
網 址:m.lcsyjck.com
對本品敏感的菌屬(種)有:葡萄球菌屬、鏈球菌屬(包括肺炎球菌)、腸球菌屬(屎腸球菌除外)、莫拉菌屬、大腸埃希菌、克雷伯菌屬、檸檬酸菌屬、腸桿菌屬、沙雷菌屬、變形桿菌屬、流感嗜血桿菌、銅綠假單胞菌、放線菌屬、消化鏈球菌屬、擬桿菌屬、普氏菌屬、梭菌屬等。
本品適用于治療由敏感細菌所引起的敗血癥、肺炎、肺部膿腫、急性支氣管炎、慢性支氣管炎急性發作、難治性膀胱炎、腎盂腎炎、腹膜炎和盆腔炎。
1、劑量與給藥方法
通常,成人每日0.6g,分2次靜脈滴注,每次滴注30~60分鐘。
可根據患者年齡、病情程度適當增減給藥劑量,但每日最大劑量不得超過1.2g。
2、配制方法及用藥時注意
使用時,每0.3g比阿培南溶解于100ml生理鹽水或葡萄糖注射液中靜脈滴注。注射用水溶液必須是等張溶液。
本品僅供靜脈滴注給藥。
本品用生理鹽水溶解后應盡快使用。室溫條件下,本品溶解后應在6小時內靜脈滴注完畢。冷藏條件(8℃),本品應在24小時內靜脈滴注完畢。
另外,與含有L-半胱氨酸及L-胱氨酸的氨基酸制劑配合時,比阿培南的滴定度會降低,所以不宜配合。
在使用本制劑時,為減少耐藥菌的產生,保證比阿培南及其他抗菌藥物的有效性,比阿培南只用于治療已證明或高度懷疑由敏感細菌引起的感染,并且選用最必要的治療持續時間。在選擇或修改抗菌藥物治療方案時,應考慮細菌培養和藥敏試驗的結果。如果沒有這些試驗的數據做參考,則應根據當地流行病學和病原菌敏感性進行經驗性治療。
在治療前應進行細菌培養和藥敏試驗以分離并鑒定感染病原菌,確定其對比阿培南的敏感性。在獲得以上檢驗結果之前可以先使用比阿培南進行治療,得到檢驗結果之后再選擇適當的治療方法。
重度腎功能障礙患者,在減少給藥劑量與延長給藥間隔的同時,尚應在用藥期間密切觀察患者狀態。
血液透析患者最好每日1次給藥。