山東羅欣藥業集團股份有限公司招標公告

【規 格】按C18H33ClN2O5S計 (1)0.3g (2)0.6g (3)0.9g (4)1.2g
【包 裝】抗生素玻璃瓶;1瓶/盒、5瓶/盒、10瓶/盒、20瓶/盒。
【單 位】瓶
【批準文號】(1)0.3g 國藥準字H20113197 (2)0.6g 國藥準字H20113198
(3)0.9g 國藥準字H20113199 (4)1.2g 國藥準字H20113200
警告:
本品與林可霉素、克林霉素有交叉耐藥性,對克林霉素或林可霉素有過敏史者禁用。禁與氨芐青霉素、苯妥英鈉、巴比妥鹽、氨茶堿、葡萄糖酸鈣及硫酸鎂配伍;與紅霉素呈拮抗作用,不宜合用。
在幾乎所有抗生素(包括克林霉素磷酸酯)的使用中都有過艱難梭狀芽孢桿菌相關性腹瀉(CDAD)的報道,它可能導致輕微的腹瀉直至危及生命的結腸炎。抗菌藥物的使用改變了腸道的正常菌群,導致艱難梭狀芽胞桿菌的過度生長。因為克林霉素磷酸酯可能和嚴重危及生命的結腸炎有關,所以只有嚴重感染且沒有合適的抗微生物藥物時才使用它。如果是非細菌感染,比如大多數的上呼吸道感染,則不使用本品。艱難梭狀芽胞桿菌產生毒素A和B,它們在CDAD中起重要作用。所有使用抗生素且出現腹瀉的患者都必須考慮是否為CDAD。因為在使用抗菌藥物2個月后還有發生CDAD的情況,所以詳細詢問病人的病史是非常必要的。
如果懷疑或者確診是CDAD,那么正在使用的且不是針對艱難梭狀芽胞桿菌的藥物均須停用。根據臨床需要,可采取適當的輸液和電解質治療、補充蛋白質、針對艱難梭狀芽胞桿菌的抗生素以及外科措施。
【藥品名稱】
通用名稱:注射用克林霉素磷酸酯
英文名稱:Clindamycin Phosphate for Injection
漢語拼音:Zhusheyong Kelinmeisu Linsuanzhi
【成 份】
本品主要成份為克林霉素磷酸酯,輔料為依地酸二鈉。
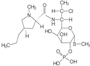
化學名稱:(2S-反式)-6-(1-甲基-4-丙基-2-吡咯烷碳酰胺基)-1-硫代-甲基-7-氯-6,7,8-三脫氧-L-蘇式-α-D-半乳糖吡喃糖苷-2-二氫磷酸酯。
化學結構式:
分子式:C18H34ClN2O8PS
分子量:504.97
【性 狀】
本品為白色或類白色的疏松塊狀物或粉末(無菌凍干品)或白色結晶性粉末(溶媒結晶型無菌分裝品)。
【適 應 癥】
本品用于治療敏感厭氧菌引起的嚴重細菌感染,也用于敏感菌,包括鏈球菌、肺炎鏈球菌、葡萄球菌引起的嚴重細菌感染。只有青霉素過敏的患者或醫生認為不能使用青霉素的患者才能使用本品。鑒于抗生素有引起偽膜性結腸炎的風險,在選擇克林霉素前,醫生應考慮感染的性質和低毒性產品(如紅霉素)代替本品的合理性。
應當開展細菌學研究以證明致病病原體以及它們對克林霉素的敏感程度。在某些情況下,實施抗生素療法的同時可根據臨床情況采取外科治療。
本品用于治療敏感菌引起的下列嚴重感染:
下呼吸道感染,包括厭氧菌、金黃色葡萄球菌、肺炎鏈球菌、其它鏈球菌(糞腸球菌除外)及金黃葡萄球菌引起的肺炎,膿胸,肺膿瘍。
化膿性鏈球菌、金黃色葡萄球菌、厭氧菌引起的皮膚和皮膚軟組織感染。
敏感厭氧菌感染引起的婦科感染,包括子宮內膜炎、非淋球菌性輸卵管卵巢膿腫、盆腔蜂窩組織炎、術后陰道切口感染。
敏感厭氧菌引起的腹腔內感染,包括腹膜炎和腹內膿腫。
金黃色葡萄球菌、鏈球菌(除腸球菌)、敏感厭氧菌引起的敗血癥。
金黃色葡萄球菌引起的包括急性血源性骨髓炎在內的骨和關節感染,作為敏感微生物引起的慢性骨和關節感染的手術治療的輔助治療。
為了減少耐藥細菌的產生,維持克林霉素磷酸酯和其它抗生素的藥效,克林霉素磷酸酯只能用于治療或者預防已被證明或者非常懷疑的細菌感染。如果能獲得細菌培養和敏感度的信息,應當在調整治療方案時予以考慮。如果缺乏這些數據,當地流行病學和細菌敏感信息應當予以考慮。
【規 格】按C18H33ClN2O5S計 (1)0.3g (2)0.6g (3)0.9g (4)1.2g
【用法用量】
1.成人:深部肌內注射或靜脈滴注給藥。
中度感染:0.6~1.2g/日,分2~3次給藥;嚴重感染:1.2~2.7g/日,分2~3次給藥;或遵醫囑。
2.兒童:肌內注射或靜脈滴注給藥。
中度感染:15~25mg/kg/日,分3或4次給藥;重度感染:25~40mg/kg/日,分3或4次給藥;或遵醫囑。
肌內注射需將本品用生理鹽水配制成50mg/ml~150mg/ml澄明液體并即時使用。
靜脈滴注需將本品0.6g用100~200ml生理鹽水或5%葡萄糖稀釋成≤6mg/ml的藥液,靜脈滴注30分鐘。
【不良反應】
國外文獻顯示,克林霉素磷酸酯注射劑不良反應情況如下:
1.胃腸道反應:常見惡心、嘔吐、腹痛、腹瀉等;嚴重者有腹部絞痛、腹部壓痛、嚴重腹瀉(水樣或膿血樣),伴發熱、異常口渴和疲乏(假膜性腸炎)。腹瀉、腸炎和假膜性腸炎可發生在用藥初期,也可發生在停藥后數周。
2.血液系統:偶可發生白細胞減少、中性粒細胞減少、嗜酸性粒細胞增多和血小板減少等;罕見再生障礙性貧血。
3.過敏反應:可見皮疹、瘙癢等,偶見蕁麻疹、血管性水腫和血清病反應等,罕見剝脫性皮炎、大皰性皮炎、多形性紅斑和Steven-Johnson綜合征。
4.肝、腎功能異常,如血清氨基轉移酶升高、黃疸等。
5.靜脈滴注可能引起靜脈炎;肌內注射局部可能出現疼痛、硬結和無菌性膿腫。
6.肌肉和骨骼:曾有罕見的關節炎報道。
7.心血管:曾有罕見的快速靜脈注射引發心、肺功能停止和低血壓的報道。
8.其他:耳鳴、眩暈、念珠菌感染等。
國內克林霉素磷酸酯和鹽酸克林霉素注射劑的不良反應報道有使用本品可能引起腎功能損害和血尿,另有極少數嚴重病例出現的不良反應包括呼吸困難、過敏性休克、急性腎功能衰竭、過敏性紫癜、抽搐、肝功能異常、胸悶、心悸、寒戰、高熱、頭暈、低血壓、耳鳴、聽力下降等。
【禁 忌】
本品與林可霉素、克林霉素有交叉耐藥性,對克林霉素或林可霉素有過敏史者禁用。
由于克林霉素不擴散到腦脊液中,本品不能用于腦膜炎治療。
【注意事項】
1. 禁與氨芐青霉素、苯妥英鈉、巴比妥鹽、氨茶堿、葡萄糖酸鈣及硫酸鎂配伍。
2. 肝、腎功能損害者及小于4歲兒童慎用。孕婦及哺乳期婦女慎用。有胃腸道疾病史,特別是結腸炎史患者慎用。過敏體質患者慎用。
3. 迄今為止的經驗表明,重癥疾病的老年患者對腹瀉的耐受性較差。當克林霉素用于這些患者時,應當仔細監測排便頻率的變化。
4. 克林霉素磷酸酯的使用可能導致非敏感菌過度生長——尤其是酵母菌。一旦發生二重感染,應根據臨床情況采取相應的措施。
5. 嚴重過敏性反應需要用腎上腺素立即緊急治療,如果需要可采取吸氧和靜脈給于糖皮質激素治療。
6. 在不能完全證明或者非常懷疑細菌感染時,應用克林霉素磷酸酯有可能不會對患者產生有益的效果,并且增加了耐藥細菌生長的可能。
患者須知
患者應了解包括克林霉素磷酸酯在內的抗菌藥物只能用于細菌感染,它們不應當用于治療病毒感染(比如感冒)。當克林霉素磷酸酯治療某細菌感染時,患者應被告知盡管在治療過程中感覺良好,仍應該準時用藥。漏用藥或者沒有完成整個療程可能導致(1)降低迅速治療的益處和(2)增加細菌產生耐藥性的機會,有可能無法被本品或其他抗生素治愈。
腹瀉是抗生素引起的一個普遍問題,而停藥時通常也會消失。有時在開始抗生素治療時,患者可能出現水樣便或血便(同時伴有或不伴有胃絞痛和發熱),甚至在最后一次服用抗生素2個月后或更長時間里出現。如果發生這種情況,患者應盡快聯系醫生。
實驗室檢查
在延長治療期間應監測肝、腎功能、血液計數情況。
【孕婦及哺乳期婦女用藥】大鼠和小鼠口服克林霉素600 mg/kg/day(以體表面積計,分別是成人推薦最高劑量的2.1倍和1.1倍),或者皮下注射克林霉素250 mg/kg/day(以體表面積計,分別是成人推薦最高劑量的0.9倍和0.5倍)沒有發現致畸作用。然而沒有在懷孕婦女中進行足夠的對照研究,因為動物生殖研究不總是能預測人的情況,該藥只有在確實需要時才用于孕婦。
據報道口服150mg或者靜脈注射600mg克林霉素,能在乳汁中檢測到0.7到3.8 μg/mL本品。由于克林霉素對于新生兒的副作用,綜合考慮應當停止用藥。
【兒童用藥】小于4歲的兒童慎用。
當克林霉素磷酸酯注射液應用于兒童(出生到16歲)時,適當的器官功能監測是非常必要的。
【老年用藥】克林霉素的臨床研究沒有足夠的超過65歲以上的病例,無法證明他們對于藥物的反應與年輕人有何不同。然而其他報道的臨床經驗表明,在大多數抗生素使用時發生的與抗生素相關的結腸炎和腹瀉(艱難梭狀桿菌引起)在老年(>60歲)人中更加頻發也更嚴重。這些患者應當監測腹瀉的情況。
克林霉素的藥代動力學研究表明,年輕人和肝功能及腎功能(隨年齡調節)正常的老年人口服或靜脈用藥后沒有明顯的不同。
【藥物相互作用】克林霉素已被證明有神經肌肉阻滯作用,這有可能增強其他神經肌肉阻滯劑的效果。因此與這類藥物合用應慎重。
紅霉素和克林霉素被證明有體外拮抗作用。鑒于臨床意義的可能性,這兩種藥物不應該合用。
【藥物過量】小鼠靜脈注射855mg/kg,大鼠口服或皮下用藥大約2618mg/kg,觀察到顯著的死亡率。在小鼠可觀察到驚厥和抑郁。
血液和腹膜透析對于清除血液中克林霉素沒有幫助。
【藥理毒理】
藥理作用:
克林霉素磷酸酯為化學合成的克林霉素衍生物,它在體外無抗菌活性,進入機體迅速水解為克林霉素發揮抗菌活性,作用機制為與核糖體50S亞基結合而抑制細菌蛋白質的合成。
體外試驗表明,克林霉素對以下微生物有活性:
需氧革蘭陽性球菌:
金黃色葡萄球菌和表皮葡萄球狀菌(均包括產青霉素酶和不產青霉素酶的菌株)、鏈球菌(腸球菌除外)、肺炎球菌。
厭氧革蘭陰性桿菌屬:
擬桿菌屬(含脆弱擬桿菌組和產黑素擬桿菌組)和梭桿菌。
厭氧革蘭陽性不產芽孢桿菌屬:
丙酸桿菌屬、真桿菌屬和放線菌屬。
厭氧和微需氧的革蘭陽性桿菌屬:
消化球菌屬、微需氧鏈球菌和消化鏈球菌屬。
毒理研究:
長期毒性:SD大鼠和Beagle犬連續1年經口給予克林霉素300mg/kg/d(以體表面積計,分別相當于成人推薦最高劑量的1.1倍和3.6倍),結果克林霉素可被很好的耐受,與對照組相比未見明顯的病理改變。大鼠連續6個月給予600mg/kg/d(以體表面積計,相當于成人推薦最高劑量的2.1倍),能被很好的耐受。但給予犬相同劑量(以體表面積計,相當于成人推薦最高劑量的7.2倍)時則出現嘔吐、不進食和體重減輕。
遺傳毒性:Ames試驗和大鼠微核試驗結果均為陰性。
生殖毒性:大鼠經口給予本品劑量為300mg/kg/d(以體表面積計,相當于成人推薦最高劑量的1.1倍),未對動物的交配和生育力有影響。大鼠和小鼠分別經口給予克林霉素劑量高達600mg/kg/d或皮下注射劑量0.25mg/kg/d,結果未見有致畸胎作用。然而,尚未對妊娠婦女進行充分和嚴格的臨床研究,動物的生殖研究并不能完全預測人類的反應。
致癌性:在動物上尚未進行長期致癌潛在性研究。
【藥代動力學】
克林霉素磷酸酯進入機體后,在血液中堿性磷酸酯酶作用下很快水解為克林霉素。正常人的藥代動力學表明:單次靜脈滴注0.6g克林霉素磷酸酯,血液中克林霉素立即達高峰,濃度為11.09±2.02mg/L,8小時血藥濃度為1.69±0.35mg/L。單次肌注0.6g,血液中克林霉素1~2小時達高峰,濃度為5.92±1.45mg/L,8小時血濃度為2.51±0.91mg/L,有效血濃度可維持8小時以上。克林霉素磷酸酯給藥后,主要在肝內代謝,并經膽汁和糞便排泄。每6小時靜脈滴注0.6g,膽汁中濃度可達48~55mg/L,部分經尿排泄。靜脈滴注和肌內注射0.6g,8小時排泄率分別為11.72±1.33%和10.51±2.68%。
【貯 藏】遮光、密閉,在陰涼處(不超過20℃)保存。
【包 裝】抗生素玻璃瓶;1瓶/盒、5瓶/盒、10瓶/盒、20瓶/盒。
【有 效 期】24個月。
【執行標準】WS1-(X-358)-2003Z-2011-2017
【批準文號】(1)0.3g 國藥準字H20113197 (2)0.6g 國藥準字H20113198
(3)0.9g 國藥準字H20113199 (4)1.2g 國藥準字H20113200
【生產企業】
企業名稱:山東羅欣藥業集團股份有限公司
生產地址:山東省臨沂高新技術產業開發區羅七路
郵政編碼:276017
電話號碼:0539-8257899 8481991
傳真號碼:0539-8481990
售后服務:0539-8242699
網 址:m.lcsyjck.com
本品用于治療敏感厭氧菌引起的嚴重細菌感染,也用于敏感菌,包括鏈球菌、肺炎鏈球菌、葡萄球菌引起的嚴重細菌感染。只有青霉素過敏的患者或醫生認為不能使用青霉素的患者才能使用本品。鑒于抗生素有引起偽膜性結腸炎的風險,在選擇克林霉素前,醫生應考慮感染的性質和低毒性產品(如紅霉素)代替本品的合理性。
應當開展細菌學研究以證明致病病原體以及它們對克林霉素的敏感程度。在某些情況下,實施抗生素療法的同時可根據臨床情況采取外科治療。
本品用于治療敏感菌引起的下列嚴重感染:
下呼吸道感染,包括厭氧菌、金黃色葡萄球菌、肺炎鏈球菌、其它鏈球菌(糞腸球菌除外)及金黃葡萄球菌引起的肺炎,膿胸,肺膿瘍。
化膿性鏈球菌、金黃色葡萄球菌、厭氧菌引起的皮膚和皮膚軟組織感染。
敏感厭氧菌感染引起的婦科感染,包括子宮內膜炎、非淋球菌性輸卵管卵巢膿腫、盆腔蜂窩組織炎、術后陰道切口感染。
敏感厭氧菌引起的腹腔內感染,包括腹膜炎和腹內膿腫。
金黃色葡萄球菌、鏈球菌(除腸球菌)、敏感厭氧菌引起的敗血癥。
金黃色葡萄球菌引起的包括急性血源性骨髓炎在內的骨和關節感染,作為敏感微生物引起的慢性骨和關節感染的手術治療的輔助治療。
為了減少耐藥細菌的產生,維持克林霉素磷酸酯和其它抗生素的藥效,克林霉素磷酸酯只能用于治療或者預防已被證明或者非常懷疑的細菌感染。如果能獲得細菌培養和敏感度的信息,應當在調整治療方案時予以考慮。如果缺乏這些數據,當地流行病學和細菌敏感信息應當予以考慮。
1.成人:深部肌內注射或靜脈滴注給藥。
中度感染:0.6~1.2g/日,分2~3次給藥;嚴重感染:1.2~2.7g/日,分2~3次給藥;或遵醫囑。
2.兒童:肌內注射或靜脈滴注給藥。
中度感染:15~25mg/kg/日,分3或4次給藥;重度感染:25~40mg/kg/日,分3或4次給藥;或遵醫囑。
肌內注射需將本品用生理鹽水配制成50mg/ml~150mg/ml澄明液體并即時使用。
靜脈滴注需將本品0.6g用100~200ml生理鹽水或5%葡萄糖稀釋成≤6mg/ml的藥液,靜脈滴注30分鐘。